
Pengujian FTIR untuk Karakterisasi Active Carbon dari UIN Syarif Hidayatullah Jakarta
Share
Apa itu FTIR Spectroscopy?
Fourier Transform Infrared Spectroscopy (FTIR) adalah teknik analisis yang digunakan untuk mengidentifikasi gugus fungsi dalam suatu material berdasarkan serapan cahaya inframerah. FTIR sangat efektif untuk karakterisasi Active Carbon, terutama dalam mengidentifikasi gugus oksigen, hidroksil, dan karbonil yang berperan dalam adsorpsi zat organik dan anorganik.
Mengapa FTIR Digunakan untuk Active Carbon?
Active Carbon memiliki luas permukaan tinggi dan banyak gugus fungsi di permukaannya, untuk menentukan kemampuan dalam aplikasi seperti:
-
Adsorpsi gas dan cairan (penjernihan air, pengolahan limbah, dan penyaring udara)
-
Aplikasi energi (superkapasitor, elektroda baterai)
-
Katalisis (dukungan untuk katalis logam)
-
Sensor kimia dan biomedis
FTIR membantu dalam karakterisasi gugus fungsi permukaan yang menentukan sifat-sifat adsorpsi dan reaktivitas Active Carbon.
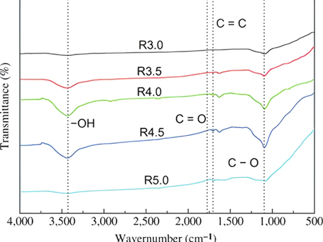
Analisis Gugus Fungsi Active Carbon dengan FTIR
Pengjian FTIR pada Active Carbon dapat mengidentifikasi berbagai gugus fungsi, seperti:
-
Gugus hidroksil (-OH) → Menunjukkan interaksi dengan air atau senyawa polarisasi tinggi.
-
Gugus karbonil (C=O) → Berasal dari asam karboksilat, keton, atau ester.
-
Gugus eter (C-O-C) → Mempengaruhi sifat adsorpsi gas dan cairan.
-
Gugus aromatik (C=C) → Struktur inti dari material karbon yang mempengaruhi kestabilan termal dan mekanik.
-
Gugus fenolik (-OH aromatik) → Meningkatkan sifat katalitik dan daya serap karbon aktif.
Spektrum FTIR memberikan informasi penting mengenai modifikasi kimia yang terjadi selama proses aktivasi karbon, baik melalui aktivasi fisik maupun kimia.
Keunggulan Karakterisasi FTIR untuk Active Carbon
-
Identifikasi cepat & non-destruktif → Tidak merusak sampel, cukup dengan serbuk atau pellet.
-
Spektrum inframerah luas → Bisa mengkarakterisasi hampir semua gugus fungsi organik dan anorganik.
-
Dapat menganalisis permukaan material → Menentukan kualitas dan potensi adsorpsi Active Carbon.
-
Membantu dalam modifikasi & optimasi Active Carbon → Berguna dalam pengembangan material adsorben, katalis, dan elektrokimia.
Spesifikasi Alat FTIR
-
Merk : Shimadzu
-
Model : IRSpirit
-
Tipe : Compact FTIR Spectrometer
-
Aksesori : QATR-S (Single Reflection ATR)
-
Rentang Spektrum : 7800–350 cm⁻¹ (tergantung konfigurasi)
-
Resolusi Spektrum : Hingga 0.5 cm⁻¹
-
Detektor : DLATGS standard
-
Sumber IR : Standard high-intensity ceramic source
-
Aksesori ATR : ATR diamond single-reflection (QATR-S)
-
Format Output : Spektrum absorbansi, transmitansi, dan reflektansi
-
Dimensi : ± 390 mm (L) × 250 mm (W) × 210 mm (H)
-
Berat : ± 8.5 kg
Cara Menggunakan Jasa Pengujian FTIR untuk Active Carbon
-
Konsultasi gratis dengan tim kami mengenai kebutuhan analisis Anda.
-
Kirimkan sampel dalam bentuk serbuk atau pellet.
-
Analisis dilakukan dengan FTIR sesuai parameter yang disepakati.
-
Hasil pengujian dikirimkan dalam bentuk laporan lengkap dengan spektrum dan interpretasi gugus fungsi.