News

Advanced Material Indonesia Jajaki Kerja Sama dengan Tokyo Chemical Industry

Advanced Material Indonesia Jajaki Kerja Sama d...

  PT Advanced Material Indonesia mengumumkan kerja sama strategis dengan Tokyo Chemical Industry Co., Ltd. (TCI), perusahaan kimia terkemuka asal Jepang yang dikenal secara global dalam produksi dan distribusi bahan...

Advanced Material Indonesia Jajaki Kerja Sama d...

  PT Advanced Material Indonesia mengumumkan kerja sama strategis dengan Tokyo Chemical Industry Co., Ltd. (TCI), perusahaan kimia terkemuka asal Jepang yang dikenal secara global dalam produksi dan distribusi bahan...

Deposisi Arang Karbon pada Nikel Foam & Pengujian Elektrokimia (CV, EIS, GCD) dengan Parstat Potentiostat dari Telkom University

Deposisi Arang Karbon pada Nikel Foam & Penguji...

Apa Itu Deposisi? Deposisi adalah proses pelapisan atau pengendapan suatu material pada permukaan substrat untuk membentuk lapisan tipis dengan karakteristik tertentu. Dalam konteks ini, arang karbon dideposisikan pada nikel foam...

Deposisi Arang Karbon pada Nikel Foam & Penguji...

Apa Itu Deposisi? Deposisi adalah proses pelapisan atau pengendapan suatu material pada permukaan substrat untuk membentuk lapisan tipis dengan karakteristik tertentu. Dalam konteks ini, arang karbon dideposisikan pada nikel foam...

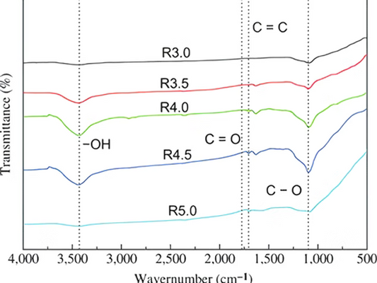
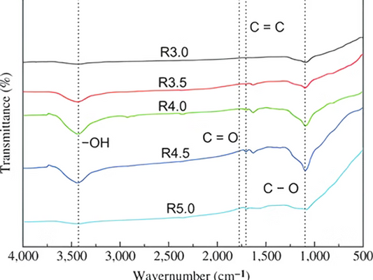
Pengujian FTIR untuk Karakterisasi Active Carbon dari UIN Syarif Hidayatullah Jakarta

Pengujian FTIR untuk Karakterisasi Active Carbo...

Apa itu FTIR Spectroscopy? Fourier Transform Infrared Spectroscopy (FTIR) adalah teknik analisis yang digunakan untuk mengidentifikasi gugus fungsi dalam suatu material berdasarkan serapan cahaya inframerah. FTIR sangat efektif untuk karakterisasi...

Pengujian FTIR untuk Karakterisasi Active Carbo...

Apa itu FTIR Spectroscopy? Fourier Transform Infrared Spectroscopy (FTIR) adalah teknik analisis yang digunakan untuk mengidentifikasi gugus fungsi dalam suatu material berdasarkan serapan cahaya inframerah. FTIR sangat efektif untuk karakterisasi...

Pengujian Photoluminescence (PL) untuk Karakterisasi Carbon Dots (CQDs) dengan Fe³⁺

Pengujian Photoluminescence (PL) untuk Karakter...

Apa itu Photoluminescence (PL) Spectroscopy? Photoluminescence (PL) Spectroscopy adalah teknik analisis optik yang digunakan untuk mengkarakterisasi sifat emisif suatu material setelah terpapar cahaya. Teknik ini sangat penting dalam studi material...

Pengujian Photoluminescence (PL) untuk Karakter...

Apa itu Photoluminescence (PL) Spectroscopy? Photoluminescence (PL) Spectroscopy adalah teknik analisis optik yang digunakan untuk mengkarakterisasi sifat emisif suatu material setelah terpapar cahaya. Teknik ini sangat penting dalam studi material...

Pengujian Cyclic Voltammetry (CV) dengan Parstat Potentiostat untuk Material Fe₃O₄/CQDs dari Universitas Halu Oleo

Pengujian Cyclic Voltammetry (CV) dengan Parsta...

Apa itu Cyclic Voltammetry (CV)? Cyclic Voltammetry (CV) adalah teknik elektrokimia yang digunakan untuk menganalisis sifat redoks suatu material dengan cara mengukur arus sebagai respons terhadap potensial yang diberikan secara...

Pengujian Cyclic Voltammetry (CV) dengan Parsta...

Apa itu Cyclic Voltammetry (CV)? Cyclic Voltammetry (CV) adalah teknik elektrokimia yang digunakan untuk menganalisis sifat redoks suatu material dengan cara mengukur arus sebagai respons terhadap potensial yang diberikan secara...

Pengujian EIS Dengan Parstat Potentiostat untuk Lapisan Tipis TiO₂ pada Ti Foil dari Universitas Andalas

Pengujian EIS Dengan Parstat Potentiostat untuk...

Apa itu Electrochemical Impedance Spectroscopy (EIS)? Electrochemical Impedance Spectroscopy (EIS) adalah teknik karakterisasi elektrokimia yang digunakan untuk menganalisis sifat listrik dan kinetika reaksi suatu material. Dengan mengukur impedansi sebagai fungsi...

Pengujian EIS Dengan Parstat Potentiostat untuk...

Apa itu Electrochemical Impedance Spectroscopy (EIS)? Electrochemical Impedance Spectroscopy (EIS) adalah teknik karakterisasi elektrokimia yang digunakan untuk menganalisis sifat listrik dan kinetika reaksi suatu material. Dengan mengukur impedansi sebagai fungsi...